1. 문제 설명
1991번: 트리 순회
첫째 줄에는 이진 트리의 노드의 개수 N(1 ≤ N ≤ 26)이 주어진다. 둘째 줄부터 N개의 줄에 걸쳐 각 노드와 그의 왼쪽 자식 노드, 오른쪽 자식 노드가 주어진다. 노드의 이름은 A부터 차례대로 알파
www.acmicpc.net
이진 트리를 입력받아 전위 순회(preorder traversal), 중위 순회(inorder traversal),
후위 순회(postorder traversal)한 결과를 출력하는 프로그램을 작성하시오.

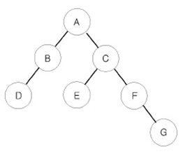
예를 들어 위와 같은 이진 트리가 입력되면,
- 전위 순회한 결과 : ABDCEFG // (루트) (왼쪽 자식) (오른쪽 자식)
- 중위 순회한 결과 : DBAECFG // (왼쪽 자식) (루트) (오른쪽 자식)
- 후위 순회한 결과 : DBEGFCA // (왼쪽 자식) (오른쪽 자식) (루트)
가 된다.
입력
첫째 줄에는 이진 트리의 노드의 개수 N(1 ≤ N ≤ 26)이 주어진다.
둘째 줄부터 N개의 줄에 걸쳐 각 노드와 그의 왼쪽 자식 노드, 오른쪽 자식 노드가 주어진다.
노드의 이름은 A부터 차례대로 알파벳 대문자로 매겨지며, 항상 A가 루트 노드가 된다.
자식 노드가 없는 경우에는 .으로 표현한다.
출력
첫째 줄에 전위 순회, 둘째 줄에 중위 순회, 셋째 줄에 후위 순회한 결과를 출력한다.
각 줄에 N개의 알파벳을 공백 없이 출력하면 된다.
2. 풀이 전 계획과 생각
그래프를 인접 리스트 형태로 만들자.
- 전위 순회 (pre order)
print(해당 노드)
pre order(왼쪽 child) 호출
pre order (오른쪽 child) 호출 - 중위 순회 (in order)
in order(왼쪽 child) 호출
print(해당 노드)
in order(오른쪽 child) 호출 - 후위 순회 (post order)
post order(왼쪽 child) 호출
post order(오른쪽 child) 호출
print(해당 노드)
3. 풀이하면서 막혔던 점과 고민
🤔 종료 조건은?
child가 없을 때 종료한다.
4. 풀이
N = int(input())
graph = {chr(vertex + 65) : ['.', '.'] for vertex in range(0, N+1)}
def init():
for _ in range(N):
vertex, left, right = input().strip().split()
graph[vertex][0], graph[vertex][1] = left, right
def pre_order(vertex):
if vertex == '.':
return
print(vertex, end='')
pre_order(graph[vertex][0])
pre_order(graph[vertex][1])
def in_order(vertex):
if vertex == '.':
return
in_order(graph[vertex][0])
print(vertex, end='')
in_order(graph[vertex][1])
def post_order(vertex):
if vertex == '.':
return
post_order(graph[vertex][0])
post_order(graph[vertex][1])
print(vertex, end='')
init()
pre_order('A')
print()
in_order('A')
print()
post_order('A')
5. 풀이 후 알게된 개념과 소감
- tree로 탐색할 때, dfs로 사용하면, 간단한 구현으로 탐색할 수 있다.
'Problem Solving' 카테고리의 다른 글
| [SWEA] 보호 필름 (모의 SW 역량테스트) / python (0) | 2022.03.23 |
|---|---|
| [백준] 2293 : 동전1 / python (0) | 2022.03.19 |
| [프로그래머스] 양과 늑대 (2022 KAKAO BLIND) / python (0) | 2022.03.11 |
| [백준] 1062 : 가르침 / python (0) | 2022.03.09 |
| [백준] 16234 : 인구 이동 (삼성 SW 역량 테스트) / python (0) | 2022.03.04 |